Queue 3

[Java] 컬렉션(Collection)

List 인터페이스 - 순서가 있는 데이터의 집합 - 중복을 허용 - ArrayList, LinkedList, Stack, Vector 등 Set 인터페이스 - 순서를 유지하지 않는 데이터의 집합 - 중복을 허용하지 않음 - HashSet, TreeSet 등 Map 인터페이스 - Key와 Value의 쌍으로 이뤄진 데이터의 집합 - 순서를 유지하지 않음 - Key는 중복을 허용하지 않고, Value는 중복을 허용 - HashMap, TreeMap, Hashtable, Properties 등 LinkedList 배열의 단점 1. 크기를 변경할 수 없다. 변경하려면 새로운 배열을 생성해서 데이터를 복사해야한다. - 실행속도를 향상시키기 위해서는 충분히 큰 크기의 배열으르 생성해야 하므로 메모리가 낭비된다. ..

Back End/JAVA 2022.05.21

BFS(너비 우선 탐색 - 그래프 탐색 알고리즘)

BFS(Breadth-First Search) - 너비 우선 탐색, 가까운 노드부터 우선적으로 탐색하는 알고리즘. - BFS는 큐 자료구조를 이용한다. 동작과정 1. 탐색 시작 노드를 큐에 삽입하고 방문 처리를 한다. 2. 큐에서 노드를 꺼낸 뒤 꺼낸 노드와 가까운 노드 중 방문하지 않은 노드를 모두 큐에 삽입하고 방문처리한다. 3. 2번의 과정을 수행할 수 없을 때 까지 반복한다. ( 조건) 번호가 낮은 번호부터 방문 시작 ) 너비 우선 탐색이란 첫번째 인접 노드 중 큐에 넣은 데이터 중에서 1. 먼저 들어간 수 (깊이 LV1) 와 인접한 노드 중 방문하지 않은 노드를 큐에 넣고. 2. 깊이 LV1 인 수 중 2번째 들어간 노드를 꺼내서 방문하지 않은 노드를 큐에 넣고, 3. 깊이 LV1을 다 꺼냈으면..

Algorithm 2022.05.19

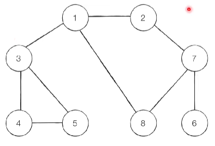
DFS(깊이 우선 탐색 - 그래프 탐색 알고리즘)

탐색이란 많은 양의 데이터 중에서 원하는 데이터를 찾는 과정 DFS(Depth-First Search) - 깊이 우선 탐색, 깊은 부분을 우선적으로 탐색하는 알고리즘이다. - DFS는 스택 자료구조(or 재귀함수)를 이용한다. 동작과정 1. 탐색 시작 노드를 스택에 삽입하고 방문 처리를 한다. 2. 스택의 최상단 노드에 방문하지 않은 인접한 노드가 하나라도 있으면 그 노드를 스택에 넣고 방문 처리. 2-1. 방문하지 않은 인접노드가 없으면 스택에서 최상단 노드를 꺼낸다. 3. 2번의 과정을 수행할 수 없을 때까지 반복 ( 조건) 낮은 수부터 방문 ) Java 구현 소스 방문에 대한 검증시 for문 안에서 재귀함수가 사용되고, 재귀함수가 종료 될 시 반복문이 이어서 다시 진행된다. import java.u..

Algorithm 2022.05.18